Note
Go to the end to download the full example code.
Sparse Inversion with Iteratively Re-Weighted Least-Squares#
Least-squares inversion produces smooth models which may not be an accurate representation of the true model. Here we demonstrate the basics of inverting for sparse and/or blocky models. Here, we used the iteratively reweighted least-squares approach. For this tutorial, we focus on the following:
Defining the forward problem
Defining the inverse problem (data misfit, regularization, optimization)
Defining the paramters for the IRLS algorithm
Specifying directives for the inversion
Recovering a set of model parameters which explains the observations
import numpy as np
import matplotlib.pyplot as plt
from discretize import TensorMesh
from simpeg import (
simulation,
maps,
data_misfit,
directives,
optimization,
regularization,
inverse_problem,
inversion,
)
# sphinx_gallery_thumbnail_number = 3
Defining the Model and Mapping#
Here we generate a synthetic model and a mappig which goes from the model space to the row space of our linear operator.
nParam = 100 # Number of model paramters
# A 1D mesh is used to define the row-space of the linear operator.
mesh = TensorMesh([nParam])
# Creating the true model
true_model = np.zeros(mesh.nC)
true_model[mesh.cell_centers_x > 0.3] = 1.0
true_model[mesh.cell_centers_x > 0.45] = -0.5
true_model[mesh.cell_centers_x > 0.6] = 0
# Mapping from the model space to the row space of the linear operator
model_map = maps.IdentityMap(mesh)
# Plotting the true model
fig = plt.figure(figsize=(8, 5))
ax = fig.add_subplot(111)
ax.plot(mesh.cell_centers_x, true_model, "b-")
ax.set_ylim([-2, 2])

(-2.0, 2.0)
Defining the Linear Operator#
Here we define the linear operator with dimensions (nData, nParam). In practive, you may have a problem-specific linear operator which you would like to construct or load here.
# Number of data observations (rows)
nData = 20
# Create the linear operator for the tutorial. The columns of the linear operator
# represents a set of decaying and oscillating functions.
jk = np.linspace(1.0, 60.0, nData)
p = -0.25
q = 0.25
def g(k):
return np.exp(p * jk[k] * mesh.cell_centers_x) * np.cos(
np.pi * q * jk[k] * mesh.cell_centers_x
)
G = np.empty((nData, nParam))
for i in range(nData):
G[i, :] = g(i)
# Plot the columns of G
fig = plt.figure(figsize=(8, 5))
ax = fig.add_subplot(111)
for i in range(G.shape[0]):
ax.plot(G[i, :])
ax.set_title("Columns of matrix G")

Text(0.5, 1.0, 'Columns of matrix G')
Defining the Simulation#
The simulation defines the relationship between the model parameters and predicted data.
Predict Synthetic Data#
Here, we use the true model to create synthetic data which we will subsequently invert.
# Standard deviation of Gaussian noise being added
std = 0.02
np.random.seed(1)
# Create a SimPEG data object
data_obj = sim.make_synthetic_data(true_model, noise_floor=std, add_noise=True)
Define the Inverse Problem#
The inverse problem is defined by 3 things:
Data Misfit: a measure of how well our recovered model explains the field data
Regularization: constraints placed on the recovered model and a priori information
Optimization: the numerical approach used to solve the inverse problem
# Define the data misfit. Here the data misfit is the L2 norm of the weighted
# residual between the observed data and the data predicted for a given model.
# Within the data misfit, the residual between predicted and observed data are
# normalized by the data's standard deviation.
dmis = data_misfit.L2DataMisfit(simulation=sim, data=data_obj)
# Define the regularization (model objective function). Here, 'p' defines the
# the norm of the smallness term and 'q' defines the norm of the smoothness
# term.
reg = regularization.Sparse(mesh, mapping=model_map)
reg.reference_model = np.zeros(nParam)
p = 0.0
q = 0.0
reg.norms = [p, q]
# Define how the optimization problem is solved.
opt = optimization.ProjectedGNCG(
maxIter=100, lower=-2.0, upper=2.0, maxIterLS=20, maxIterCG=30, tolCG=1e-4
)
# Here we define the inverse problem that is to be solved
inv_prob = inverse_problem.BaseInvProblem(dmis, reg, opt)
Define Inversion Directives#
Here we define any directiveas that are carried out during the inversion. This includes the cooling schedule for the trade-off parameter (beta), stopping criteria for the inversion and saving inversion results at each iteration.
# Add sensitivity weights but don't update at each beta
sensitivity_weights = directives.UpdateSensitivityWeights(every_iteration=False)
# Reach target misfit for L2 solution, then use IRLS until model stops changing.
IRLS = directives.UpdateIRLS(max_irls_iterations=40, f_min_change=1e-4)
# Defining a starting value for the trade-off parameter (beta) between the data
# misfit and the regularization.
starting_beta = directives.BetaEstimate_ByEig(beta0_ratio=1e0)
# Update the preconditionner
update_Jacobi = directives.UpdatePreconditioner()
# Save output at each iteration
saveDict = directives.SaveOutputEveryIteration(save_txt=False)
# Define the directives as a list
directives_list = [
sensitivity_weights,
IRLS,
starting_beta,
update_Jacobi,
saveDict,
]
Setting a Starting Model and Running the Inversion#
To define the inversion object, we need to define the inversion problem and the set of directives. We can then run the inversion.
# Here we combine the inverse problem and the set of directives
inv = inversion.BaseInversion(inv_prob, directives_list)
# Starting model
starting_model = 1e-4 * np.ones(nParam)
# Run inversion
recovered_model = inv.run(starting_model)
Running inversion with SimPEG v0.24.0
simpeg.InvProblem is setting bfgsH0 to the inverse of the eval2Deriv.
***Done using the default solver Pardiso and no solver_opts.***
model has any nan: 0
=============================== Projected GNCG ===============================
# beta phi_d phi_m f |proj(x-g)-x| LS Comment
-----------------------------------------------------------------------------
x0 has any nan: 0
0 1.69e+06 3.73e+03 1.02e-09 3.73e+03 1.99e+01 0
1 8.46e+05 1.82e+03 3.96e-04 2.16e+03 1.93e+01 0
2 4.23e+05 1.23e+03 9.01e-04 1.61e+03 1.89e+01 0 Skip BFGS
3 2.12e+05 7.12e+02 1.77e-03 1.09e+03 1.80e+01 0 Skip BFGS
4 1.06e+05 3.51e+02 2.97e-03 6.65e+02 1.57e+01 0 Skip BFGS
5 5.29e+04 1.52e+02 4.27e-03 3.78e+02 1.37e+01 0 Skip BFGS
6 2.64e+04 6.18e+01 5.44e-03 2.06e+02 1.28e+01 0 Skip BFGS
7 1.32e+04 2.61e+01 6.37e-03 1.10e+02 1.17e+01 0 Skip BFGS
Reached starting chifact with l2-norm regularization: Start IRLS steps...
irls_threshold 1.1707247707684598
8 1.32e+04 1.26e+01 9.65e-03 1.40e+02 1.59e+01 0 Skip BFGS
9 1.32e+04 2.02e+01 1.01e-02 1.54e+02 1.41e+01 0
10 7.98e+03 2.63e+01 1.06e-02 1.11e+02 9.67e+00 0 Skip BFGS
11 4.81e+03 2.13e+01 1.18e-02 7.80e+01 9.73e+00 0
12 6.16e+03 1.62e+01 1.26e-02 9.41e+01 1.51e+01 0 Skip BFGS
13 7.89e+03 2.08e+01 1.19e-02 1.15e+02 1.56e+01 0
14 4.67e+03 2.76e+01 1.09e-02 7.83e+01 1.16e+01 0
15 2.77e+03 2.09e+01 1.08e-02 5.08e+01 1.13e+01 0
16 3.86e+03 1.37e+01 1.08e-02 5.54e+01 1.22e+01 0
17 5.13e+03 1.51e+01 9.18e-03 6.22e+01 1.27e+01 0
18 6.37e+03 1.72e+01 7.70e-03 6.63e+01 1.22e+01 0
19 7.91e+03 1.89e+01 6.52e-03 7.05e+01 1.23e+01 0
20 9.83e+03 2.04e+01 5.49e-03 7.44e+01 1.28e+01 0
21 1.22e+04 2.18e+01 4.60e-03 7.79e+01 1.35e+01 0
22 7.76e+03 2.29e+01 3.85e-03 5.28e+01 1.17e+01 0
23 4.93e+03 1.86e+01 3.66e-03 3.67e+01 8.88e+00 0
24 6.23e+03 1.66e+01 3.36e-03 3.76e+01 1.89e+01 0 Skip BFGS
25 8.34e+03 1.49e+01 2.75e-03 3.79e+01 1.32e+01 0
26 1.11e+04 1.50e+01 2.25e-03 4.00e+01 1.35e+01 0
27 1.47e+04 1.52e+01 1.83e-03 4.22e+01 1.40e+01 0
28 1.93e+04 1.56e+01 1.50e-03 4.45e+01 1.44e+01 0
29 2.47e+04 1.61e+01 1.21e-03 4.61e+01 1.47e+01 0
30 3.12e+04 1.67e+01 9.61e-04 4.67e+01 1.49e+01 0
31 3.86e+04 1.73e+01 7.89e-04 4.77e+01 1.50e+01 0 Skip BFGS
32 4.70e+04 1.78e+01 6.48e-04 4.83e+01 1.50e+01 0
33 5.72e+04 1.82e+01 5.32e-04 4.86e+01 1.50e+01 0
34 6.97e+04 1.84e+01 4.35e-04 4.88e+01 1.52e+01 0
35 8.50e+04 1.86e+01 3.48e-04 4.81e+01 1.48e+01 0
36 1.04e+05 1.85e+01 2.74e-04 4.68e+01 1.47e+01 0
37 1.26e+05 1.83e+01 2.22e-04 4.63e+01 1.45e+01 0
38 1.54e+05 1.81e+01 1.79e-04 4.56e+01 1.44e+01 0
39 1.87e+05 1.81e+01 1.44e-04 4.51e+01 1.46e+01 0
40 2.28e+05 1.83e+01 1.18e-04 4.53e+01 1.47e+01 0
41 2.78e+05 1.86e+01 9.95e-05 4.63e+01 1.50e+01 0 Skip BFGS
42 3.39e+05 1.90e+01 8.32e-05 4.71e+01 1.50e+01 0
43 4.12e+05 1.93e+01 6.96e-05 4.81e+01 1.50e+01 0
44 5.02e+05 1.98e+01 5.84e-05 4.91e+01 1.50e+01 0
45 6.12e+05 2.02e+01 4.91e-05 5.03e+01 1.50e+01 0
46 7.46e+05 2.06e+01 4.15e-05 5.16e+01 1.50e+01 0
47 9.09e+05 2.08e+01 3.52e-05 5.28e+01 1.51e+01 0
Reach maximum number of IRLS cycles: 40
------------------------- STOP! -------------------------
1 : |fc-fOld| = 0.0000e+00 <= tolF*(1+|f0|) = 3.7318e+02
1 : |xc-x_last| = 5.4526e-02 <= tolX*(1+|x0|) = 1.0010e-01
0 : |proj(x-g)-x| = 1.5134e+01 <= tolG = 1.0000e-01
0 : |proj(x-g)-x| = 1.5134e+01 <= 1e3*eps = 1.0000e-02
0 : maxIter = 100 <= iter = 48
------------------------- DONE! -------------------------
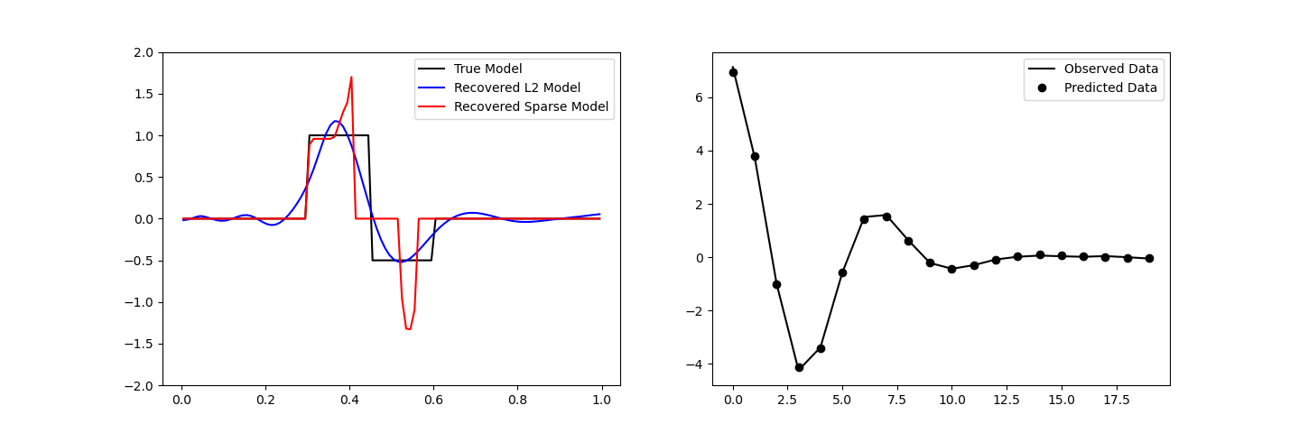
Plotting Results#
fig, ax = plt.subplots(1, 2, figsize=(12 * 1.2, 4 * 1.2))
# True versus recovered model
ax[0].plot(mesh.cell_centers_x, true_model, "k-")
ax[0].plot(mesh.cell_centers_x, inv_prob.l2model, "b-")
ax[0].plot(mesh.cell_centers_x, recovered_model, "r-")
ax[0].legend(("True Model", "Recovered L2 Model", "Recovered Sparse Model"))
ax[0].set_ylim([-2, 2])
# Observed versus predicted data
ax[1].plot(data_obj.dobs, "k-")
ax[1].plot(inv_prob.dpred, "ko")
ax[1].legend(("Observed Data", "Predicted Data"))
# Plot convergence
fig = plt.figure(figsize=(9, 5))
ax = fig.add_axes([0.2, 0.1, 0.7, 0.85])
ax.plot(saveDict.phi_d, "k", lw=2)
twin = ax.twinx()
twin.plot(saveDict.phi_m, "k--", lw=2)
ax.plot(
np.r_[IRLS.metrics.start_irls_iter, IRLS.metrics.start_irls_iter],
np.r_[0, np.max(saveDict.phi_d)],
"k:",
)
ax.text(
IRLS.metrics.start_irls_iter,
0.0,
"IRLS Start",
va="bottom",
ha="center",
rotation="vertical",
size=12,
bbox={"facecolor": "white"},
)
ax.set_ylabel(r"$\phi_d$", size=16, rotation=0)
ax.set_xlabel("Iterations", size=14)
twin.set_ylabel(r"$\phi_m$", size=16, rotation=0)
Text(865.1527777777777, 0.5, '$\\phi_m$')
Total running time of the script: (0 minutes 41.839 seconds)
Estimated memory usage: 289 MB

