Note
Go to the end to download the full example code.
Sparse Inversion with Iteratively Re-Weighted Least-Squares#
Least-squares inversion produces smooth models which may not be an accurate representation of the true model. Here we demonstrate the basics of inverting for sparse and/or blocky models. Here, we used the iteratively reweighted least-squares approach. For this tutorial, we focus on the following:
Defining the forward problem
Defining the inverse problem (data misfit, regularization, optimization)
Defining the paramters for the IRLS algorithm
Specifying directives for the inversion
Recovering a set of model parameters which explains the observations
import numpy as np
import matplotlib.pyplot as plt
from discretize import TensorMesh
from simpeg import (
simulation,
maps,
data_misfit,
directives,
optimization,
regularization,
inverse_problem,
inversion,
)
# sphinx_gallery_thumbnail_number = 3
Defining the Model and Mapping#
Here we generate a synthetic model and a mappig which goes from the model space to the row space of our linear operator.
nParam = 100 # Number of model paramters
# A 1D mesh is used to define the row-space of the linear operator.
mesh = TensorMesh([nParam])
# Creating the true model
true_model = np.zeros(mesh.nC)
true_model[mesh.cell_centers_x > 0.3] = 1.0
true_model[mesh.cell_centers_x > 0.45] = -0.5
true_model[mesh.cell_centers_x > 0.6] = 0
# Mapping from the model space to the row space of the linear operator
model_map = maps.IdentityMap(mesh)
# Plotting the true model
fig = plt.figure(figsize=(8, 5))
ax = fig.add_subplot(111)
ax.plot(mesh.cell_centers_x, true_model, "b-")
ax.set_ylim([-2, 2])

(-2.0, 2.0)
Defining the Linear Operator#
Here we define the linear operator with dimensions (nData, nParam). In practive, you may have a problem-specific linear operator which you would like to construct or load here.
# Number of data observations (rows)
nData = 20
# Create the linear operator for the tutorial. The columns of the linear operator
# represents a set of decaying and oscillating functions.
jk = np.linspace(1.0, 60.0, nData)
p = -0.25
q = 0.25
def g(k):
return np.exp(p * jk[k] * mesh.cell_centers_x) * np.cos(
np.pi * q * jk[k] * mesh.cell_centers_x
)
G = np.empty((nData, nParam))
for i in range(nData):
G[i, :] = g(i)
# Plot the columns of G
fig = plt.figure(figsize=(8, 5))
ax = fig.add_subplot(111)
for i in range(G.shape[0]):
ax.plot(G[i, :])
ax.set_title("Columns of matrix G")

Text(0.5, 1.0, 'Columns of matrix G')
Defining the Simulation#
The simulation defines the relationship between the model parameters and predicted data.
Predict Synthetic Data#
Here, we use the true model to create synthetic data which we will subsequently invert.
# Standard deviation of Gaussian noise being added
std = 0.02
np.random.seed(1)
# Create a SimPEG data object
data_obj = sim.make_synthetic_data(true_model, noise_floor=std, add_noise=True)
Define the Inverse Problem#
The inverse problem is defined by 3 things:
Data Misfit: a measure of how well our recovered model explains the field data
Regularization: constraints placed on the recovered model and a priori information
Optimization: the numerical approach used to solve the inverse problem
# Define the data misfit. Here the data misfit is the L2 norm of the weighted
# residual between the observed data and the data predicted for a given model.
# Within the data misfit, the residual between predicted and observed data are
# normalized by the data's standard deviation.
dmis = data_misfit.L2DataMisfit(simulation=sim, data=data_obj)
# Define the regularization (model objective function). Here, 'p' defines the
# the norm of the smallness term and 'q' defines the norm of the smoothness
# term.
reg = regularization.Sparse(mesh, mapping=model_map)
reg.reference_model = np.zeros(nParam)
p = 0.0
q = 0.0
reg.norms = [p, q]
# Define how the optimization problem is solved.
opt = optimization.ProjectedGNCG(
maxIter=100, lower=-2.0, upper=2.0, maxIterLS=20, cg_maxiter=30, cg_rtol=1e-3
)
# Here we define the inverse problem that is to be solved
inv_prob = inverse_problem.BaseInvProblem(dmis, reg, opt)
Define Inversion Directives#
Here we define any directiveas that are carried out during the inversion. This includes the cooling schedule for the trade-off parameter (beta), stopping criteria for the inversion and saving inversion results at each iteration.
# Add sensitivity weights but don't update at each beta
sensitivity_weights = directives.UpdateSensitivityWeights(every_iteration=False)
# Reach target misfit for L2 solution, then use IRLS until model stops changing.
IRLS = directives.UpdateIRLS(max_irls_iterations=40, f_min_change=1e-4)
# Defining a starting value for the trade-off parameter (beta) between the data
# misfit and the regularization.
starting_beta = directives.BetaEstimate_ByEig(beta0_ratio=1e0)
# Update the preconditionner
update_Jacobi = directives.UpdatePreconditioner()
# Save output at each iteration
saveDict = directives.SaveOutputEveryIteration(save_txt=False)
# Define the directives as a list
directives_list = [
sensitivity_weights,
IRLS,
starting_beta,
update_Jacobi,
saveDict,
]
/home/vsts/work/1/s/simpeg/directives/_directives.py:1865: FutureWarning:
SaveEveryIteration.save_txt has been deprecated, please use SaveEveryIteration.on_disk. It will be removed in version 0.26.0 of SimPEG.
/home/vsts/work/1/s/simpeg/directives/_directives.py:1866: FutureWarning:
SaveEveryIteration.save_txt has been deprecated, please use SaveEveryIteration.on_disk. It will be removed in version 0.26.0 of SimPEG.
Setting a Starting Model and Running the Inversion#
To define the inversion object, we need to define the inversion problem and the set of directives. We can then run the inversion.
# Here we combine the inverse problem and the set of directives
inv = inversion.BaseInversion(inv_prob, directives_list)
# Starting model
starting_model = 1e-4 * np.ones(nParam)
# Run inversion
recovered_model = inv.run(starting_model)
Running inversion with SimPEG v0.25.0
================================================= Projected GNCG =================================================
# beta phi_d phi_m f |proj(x-g)-x| LS iter_CG CG |Ax-b|/|b| CG |Ax-b| Comment
-----------------------------------------------------------------------------------------------------------------
0 2.78e+06 3.78e+03 1.01e-09 3.78e+03 0 inf inf
1 2.78e+06 2.32e+03 2.01e-04 2.88e+03 1.96e+01 0 7 8.45e-04 4.07e+00
2 1.39e+06 1.75e+03 5.04e-04 2.45e+03 1.92e+01 0 8 5.66e-04 5.78e-01
3 6.94e+05 1.14e+03 1.13e-03 1.93e+03 1.89e+01 0 9 3.90e-04 2.96e-01
4 3.47e+05 6.40e+02 2.16e-03 1.39e+03 1.83e+01 0 10 4.67e-04 2.57e-01
5 1.74e+05 3.07e+02 3.50e-03 9.14e+02 1.72e+01 0 12 4.43e-04 1.68e-01
6 8.68e+04 1.33e+02 4.88e-03 5.57e+02 1.56e+01 0 14 5.87e-04 1.40e-01
7 4.34e+04 5.75e+01 6.07e-03 3.21e+02 1.39e+01 0 17 7.73e-04 1.09e-01
8 2.17e+04 2.90e+01 6.96e-03 1.80e+02 1.28e+01 0 22 9.47e-04 7.39e-02
9 1.08e+04 1.85e+01 7.63e-03 1.01e+02 1.13e+01 0 29 8.41e-04 3.53e-02
Reached starting chifact with l2-norm regularization: Start IRLS steps...
irls_threshold 1.189250648941873
10 1.08e+04 2.54e+01 9.33e-03 1.27e+02 1.51e+01 0 30 1.33e-03 3.38e-02
11 8.35e+03 2.62e+01 1.06e-02 1.15e+02 3.16e+00 0 30 2.20e-03 1.83e-02
12 6.31e+03 2.57e+01 1.16e-02 9.92e+01 3.78e+00 0 30 1.60e-03 1.29e-02
13 4.82e+03 2.45e+01 1.25e-02 8.46e+01 4.78e+00 0 30 1.22e-03 9.28e-03
14 3.78e+03 2.27e+01 1.29e-02 7.13e+01 5.20e+00 0 28 6.97e-04 5.17e-03
15 3.08e+03 2.06e+01 1.26e-02 5.93e+01 5.30e+00 0 30 1.18e-03 8.44e-03
16 3.08e+03 1.99e+01 1.14e-02 5.49e+01 5.06e+00 0 30 2.87e-03 1.53e-02
17 3.08e+03 1.91e+01 1.00e-02 5.00e+01 5.24e+00 0 30 2.60e-03 1.43e-02
18 3.08e+03 1.82e+01 8.68e-03 4.50e+01 5.37e+00 0 30 2.17e-03 1.25e-02
19 3.08e+03 1.75e+01 7.42e-03 4.03e+01 5.63e+00 0 30 5.89e-04 3.57e-03
20 4.84e+03 1.91e+01 5.84e-03 4.74e+01 1.26e+01 0 21 7.52e-04 1.77e-02
21 4.84e+03 1.89e+01 4.98e-03 4.30e+01 7.65e+00 0 19 8.30e-04 7.45e-03
22 4.84e+03 1.84e+01 4.16e-03 3.86e+01 7.54e+00 0 21 6.46e-04 5.60e-03
23 4.84e+03 1.79e+01 3.50e-03 3.48e+01 8.03e+00 0 22 7.62e-04 7.51e-03
24 7.54e+03 1.86e+01 2.70e-03 3.90e+01 1.28e+01 0 20 7.05e-04 2.29e-02
25 7.54e+03 1.84e+01 2.27e-03 3.55e+01 8.18e+00 0 20 8.98e-04 1.09e-02
26 7.54e+03 1.84e+01 1.96e-03 3.32e+01 9.47e+00 0 23 6.76e-04 9.05e-03
27 7.54e+03 1.84e+01 1.71e-03 3.13e+01 9.03e+00 0 24 2.32e-04 3.21e-03
28 7.54e+03 1.83e+01 1.49e-03 2.96e+01 9.09e+00 0 21 4.03e-04 6.71e-03
29 7.54e+03 1.82e+01 1.30e-03 2.80e+01 9.15e+00 0 20 8.91e-04 1.54e-02
30 7.54e+03 1.80e+01 1.13e-03 2.66e+01 8.99e+00 0 18 8.99e-04 1.49e-02
31 7.54e+03 1.79e+01 9.83e-04 2.53e+01 8.95e+00 0 20 7.03e-04 1.29e-02
32 1.18e+04 1.84e+01 7.93e-04 2.77e+01 1.40e+01 0 18 8.36e-04 6.90e-02
33 1.18e+04 1.84e+01 6.85e-04 2.64e+01 9.42e+00 0 22 8.72e-04 2.31e-02
34 1.18e+04 1.83e+01 5.92e-04 2.53e+01 9.52e+00 0 23 5.98e-04 1.74e-02
35 1.18e+04 1.83e+01 5.10e-04 2.43e+01 9.63e+00 0 26 8.60e-04 2.74e-02
36 1.18e+04 1.83e+01 4.38e-04 2.34e+01 9.74e+00 0 27 8.01e-04 2.75e-02
37 1.18e+04 1.83e+01 3.74e-04 2.27e+01 9.98e+00 0 26 9.13e-04 3.33e-02
38 1.18e+04 1.83e+01 3.17e-04 2.21e+01 1.00e+01 0 26 5.06e-04 1.93e-02
39 1.18e+04 1.84e+01 2.68e-04 2.15e+01 9.92e+00 0 26 4.40e-04 1.67e-02
40 1.18e+04 1.84e+01 2.26e-04 2.11e+01 9.70e+00 0 26 8.38e-04 3.06e-02
41 1.18e+04 1.84e+01 1.92e-04 2.07e+01 9.73e+00 0 27 5.27e-04 1.99e-02
42 1.18e+04 1.84e+01 1.64e-04 2.03e+01 9.85e+00 0 27 7.39e-04 2.96e-02
43 1.18e+04 1.84e+01 1.41e-04 2.01e+01 1.10e+01 0 28 3.08e-04 1.29e-02
44 1.18e+04 1.84e+01 1.21e-04 1.98e+01 9.91e+00 1 28 4.48e-04 1.86e-02
45 1.18e+04 1.84e+01 1.04e-04 1.96e+01 1.16e+01 3 29 4.09e-04 2.69e-02
46 1.18e+04 1.83e+01 9.10e-05 1.94e+01 1.45e+01 0 26 4.44e-04 4.76e-02
47 1.18e+04 1.83e+01 7.45e-05 1.91e+01 1.05e+01 2 30 2.89e-01 1.40e+01
48 1.18e+04 1.77e+01 8.14e-05 1.87e+01 1.70e+01 0 27 5.21e-04 4.78e-02
49 1.84e+04 1.77e+01 5.03e-05 1.86e+01 1.56e+01 5 30 6.52e-01 1.35e+02
Reach maximum number of IRLS cycles: 40
------------------------- STOP! -------------------------
1 : |fc-fOld| = 7.3062e-03 <= tolF*(1+|f0|) = 3.7851e+02
1 : |xc-x_last| = 1.4987e-02 <= tolX*(1+|x0|) = 1.0010e-01
0 : |proj(x-g)-x| = 1.5637e+01 <= tolG = 1.0000e-01
0 : |proj(x-g)-x| = 1.5637e+01 <= 1e3*eps = 1.0000e-02
0 : maxIter = 100 <= iter = 49
------------------------- DONE! -------------------------
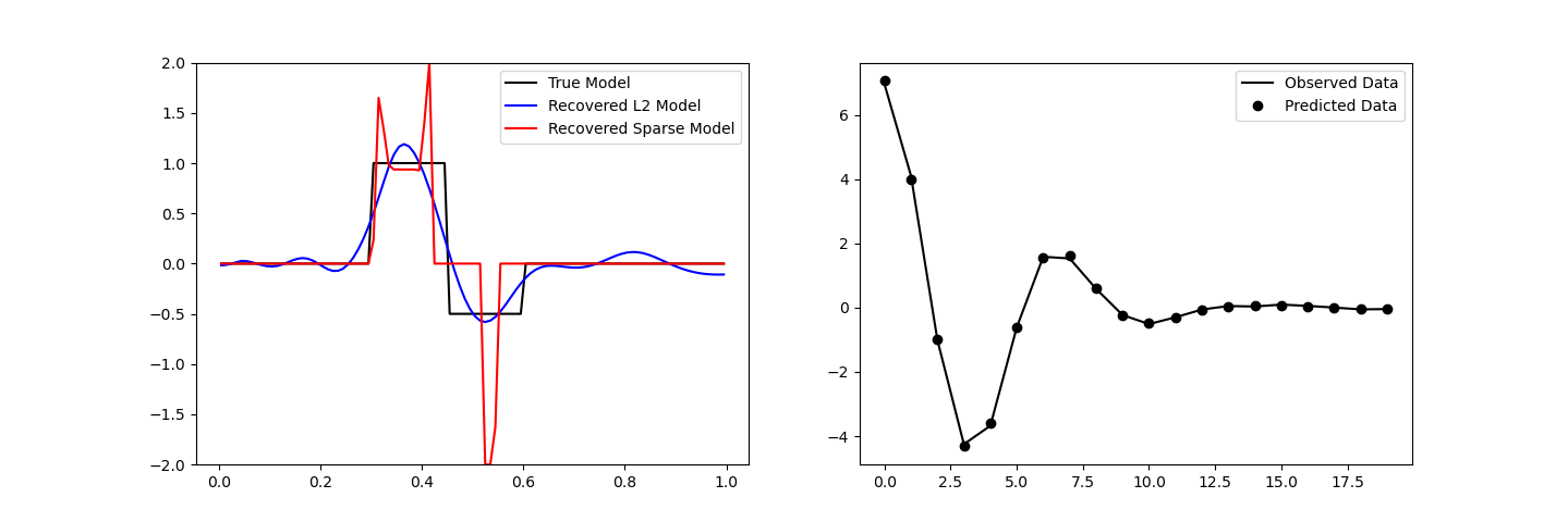
Plotting Results#
fig, ax = plt.subplots(1, 2, figsize=(12 * 1.2, 4 * 1.2))
# True versus recovered model
ax[0].plot(mesh.cell_centers_x, true_model, "k-")
ax[0].plot(mesh.cell_centers_x, inv_prob.l2model, "b-")
ax[0].plot(mesh.cell_centers_x, recovered_model, "r-")
ax[0].legend(("True Model", "Recovered L2 Model", "Recovered Sparse Model"))
ax[0].set_ylim([-2, 2])
# Observed versus predicted data
ax[1].plot(data_obj.dobs, "k-")
ax[1].plot(inv_prob.dpred, "ko")
ax[1].legend(("Observed Data", "Predicted Data"))
# Plot convergence
fig = plt.figure(figsize=(9, 5))
ax = fig.add_axes([0.2, 0.1, 0.7, 0.85])
ax.plot(saveDict.phi_d, "k", lw=2)
twin = ax.twinx()
twin.plot(saveDict.phi_m, "k--", lw=2)
ax.plot(
np.r_[IRLS.metrics.start_irls_iter, IRLS.metrics.start_irls_iter],
np.r_[0, np.max(saveDict.phi_d)],
"k:",
)
ax.text(
IRLS.metrics.start_irls_iter,
0.0,
"IRLS Start",
va="bottom",
ha="center",
rotation="vertical",
size=12,
bbox={"facecolor": "white"},
)
ax.set_ylabel(r"$\phi_d$", size=16, rotation=0)
ax.set_xlabel("Iterations", size=14)
twin.set_ylabel(r"$\phi_m$", size=16, rotation=0)
Text(865.1527777777777, 0.5, '$\\phi_m$')
Total running time of the script: (0 minutes 37.230 seconds)
Estimated memory usage: 319 MB

