Note
Go to the end to download the full example code.
Sparse Inversion with Iteratively Re-Weighted Least-Squares#
Least-squares inversion produces smooth models which may not be an accurate representation of the true model. Here we demonstrate the basics of inverting for sparse and/or blocky models. Here, we used the iteratively reweighted least-squares approach. For this tutorial, we focus on the following:
Defining the forward problem
Defining the inverse problem (data misfit, regularization, optimization)
Defining the paramters for the IRLS algorithm
Specifying directives for the inversion
Recovering a set of model parameters which explains the observations
import numpy as np
import matplotlib.pyplot as plt
from discretize import TensorMesh
from simpeg import (
simulation,
maps,
data_misfit,
directives,
optimization,
regularization,
inverse_problem,
inversion,
)
# sphinx_gallery_thumbnail_number = 3
Defining the Model and Mapping#
Here we generate a synthetic model and a mappig which goes from the model space to the row space of our linear operator.
nParam = 100 # Number of model paramters
# A 1D mesh is used to define the row-space of the linear operator.
mesh = TensorMesh([nParam])
# Creating the true model
true_model = np.zeros(mesh.nC)
true_model[mesh.cell_centers_x > 0.3] = 1.0
true_model[mesh.cell_centers_x > 0.45] = -0.5
true_model[mesh.cell_centers_x > 0.6] = 0
# Mapping from the model space to the row space of the linear operator
model_map = maps.IdentityMap(mesh)
# Plotting the true model
fig = plt.figure(figsize=(8, 5))
ax = fig.add_subplot(111)
ax.plot(mesh.cell_centers_x, true_model, "b-")
ax.set_ylim([-2, 2])

(-2.0, 2.0)
Defining the Linear Operator#
Here we define the linear operator with dimensions (nData, nParam). In practive, you may have a problem-specific linear operator which you would like to construct or load here.
# Number of data observations (rows)
nData = 20
# Create the linear operator for the tutorial. The columns of the linear operator
# represents a set of decaying and oscillating functions.
jk = np.linspace(1.0, 60.0, nData)
p = -0.25
q = 0.25
def g(k):
return np.exp(p * jk[k] * mesh.cell_centers_x) * np.cos(
np.pi * q * jk[k] * mesh.cell_centers_x
)
G = np.empty((nData, nParam))
for i in range(nData):
G[i, :] = g(i)
# Plot the columns of G
fig = plt.figure(figsize=(8, 5))
ax = fig.add_subplot(111)
for i in range(G.shape[0]):
ax.plot(G[i, :])
ax.set_title("Columns of matrix G")

Text(0.5, 1.0, 'Columns of matrix G')
Defining the Simulation#
The simulation defines the relationship between the model parameters and predicted data.
Predict Synthetic Data#
Here, we use the true model to create synthetic data which we will subsequently invert.
# Standard deviation of Gaussian noise being added
std = 0.02
np.random.seed(1)
# Create a SimPEG data object
data_obj = sim.make_synthetic_data(true_model, noise_floor=std, add_noise=True)
Define the Inverse Problem#
The inverse problem is defined by 3 things:
Data Misfit: a measure of how well our recovered model explains the field data
Regularization: constraints placed on the recovered model and a priori information
Optimization: the numerical approach used to solve the inverse problem
# Define the data misfit. Here the data misfit is the L2 norm of the weighted
# residual between the observed data and the data predicted for a given model.
# Within the data misfit, the residual between predicted and observed data are
# normalized by the data's standard deviation.
dmis = data_misfit.L2DataMisfit(simulation=sim, data=data_obj)
# Define the regularization (model objective function). Here, 'p' defines the
# the norm of the smallness term and 'q' defines the norm of the smoothness
# term.
reg = regularization.Sparse(mesh, mapping=model_map)
reg.reference_model = np.zeros(nParam)
p = 0.0
q = 0.0
reg.norms = [p, q]
# Define how the optimization problem is solved.
opt = optimization.ProjectedGNCG(
maxIter=100, lower=-2.0, upper=2.0, maxIterLS=20, cg_maxiter=30, cg_rtol=1e-3
)
# Here we define the inverse problem that is to be solved
inv_prob = inverse_problem.BaseInvProblem(dmis, reg, opt)
Define Inversion Directives#
Here we define any directiveas that are carried out during the inversion. This includes the cooling schedule for the trade-off parameter (beta), stopping criteria for the inversion and saving inversion results at each iteration.
# Add sensitivity weights but don't update at each beta
sensitivity_weights = directives.UpdateSensitivityWeights(every_iteration=False)
# Reach target misfit for L2 solution, then use IRLS until model stops changing.
IRLS = directives.UpdateIRLS(max_irls_iterations=40, f_min_change=1e-4)
# Defining a starting value for the trade-off parameter (beta) between the data
# misfit and the regularization.
starting_beta = directives.BetaEstimate_ByEig(beta0_ratio=1e0)
# Update the preconditionner
update_Jacobi = directives.UpdatePreconditioner()
# Save output at each iteration
saveDict = directives.SaveOutputEveryIteration(save_txt=False)
# Define the directives as a list
directives_list = [
sensitivity_weights,
IRLS,
starting_beta,
update_Jacobi,
saveDict,
]
/home/vsts/work/1/s/simpeg/directives/_directives.py:1865: FutureWarning: SaveEveryIteration.save_txt has been deprecated, please use SaveEveryIteration.on_disk. It will be removed in version 0.26.0 of SimPEG.
self.save_txt = save_txt
/home/vsts/work/1/s/simpeg/directives/_directives.py:1866: FutureWarning: SaveEveryIteration.save_txt has been deprecated, please use SaveEveryIteration.on_disk. It will be removed in version 0.26.0 of SimPEG.
on_disk = self.save_txt
Setting a Starting Model and Running the Inversion#
To define the inversion object, we need to define the inversion problem and the set of directives. We can then run the inversion.
# Here we combine the inverse problem and the set of directives
inv = inversion.BaseInversion(inv_prob, directives_list)
# Starting model
starting_model = 1e-4 * np.ones(nParam)
# Run inversion
recovered_model = inv.run(starting_model)
Running inversion with SimPEG v0.25.2
================================================= Projected GNCG =================================================
# beta phi_d phi_m f |proj(x-g)-x| LS iter_CG CG |Ax-b|/|b| CG |Ax-b| Comment
-----------------------------------------------------------------------------------------------------------------
0 1.70e+06 3.70e+03 1.02e-09 3.70e+03 0 inf inf
1 1.70e+06 1.89e+03 3.80e-04 2.53e+03 1.96e+01 0 8 3.89e-04 1.78e+00
2 8.48e+05 1.30e+03 8.83e-04 2.05e+03 1.90e+01 0 9 2.58e-04 2.06e-01
3 4.24e+05 7.64e+02 1.78e-03 1.52e+03 1.86e+01 0 10 5.04e-04 2.98e-01
4 2.12e+05 3.81e+02 3.05e-03 1.03e+03 1.76e+01 0 11 7.81e-04 3.25e-01
5 1.06e+05 1.62e+02 4.48e-03 6.37e+02 1.51e+01 0 14 4.58e-04 1.24e-01
6 5.30e+04 6.17e+01 5.79e-03 3.68e+02 1.39e+01 0 16 8.88e-04 1.44e-01
7 2.65e+04 2.29e+01 6.78e-03 2.03e+02 1.30e+01 0 20 8.81e-04 8.08e-02
8 1.32e+04 9.70e+00 7.46e-03 1.08e+02 1.07e+01 0 29 7.21e-04 3.58e-02
Reached starting chifact with l2-norm regularization: Start IRLS steps...
irls_threshold 1.2492122951221412
9 1.32e+04 1.70e+01 9.22e-03 1.39e+02 1.51e+01 0 28 9.49e-04 2.98e-02
10 2.10e+04 3.90e+01 9.17e-03 2.32e+02 1.83e+01 0 20 8.85e-04 6.24e-02
11 1.33e+04 3.12e+01 1.07e-02 1.74e+02 9.92e+00 0 21 9.60e-04 2.92e-02
12 9.23e+03 2.71e+01 1.19e-02 1.37e+02 7.94e+00 0 23 9.19e-04 1.69e-02
13 6.87e+03 2.40e+01 1.28e-02 1.12e+02 6.97e+00 0 24 7.49e-04 1.00e-02
14 5.44e+03 2.13e+01 1.32e-02 9.29e+01 6.33e+00 0 24 7.07e-04 7.65e-03
15 5.44e+03 2.18e+01 1.24e-02 8.94e+01 7.46e+00 0 24 5.63e-04 4.55e-03
16 5.44e+03 2.20e+01 1.16e-02 8.51e+01 7.87e+00 0 23 8.38e-04 7.24e-03
17 5.44e+03 2.17e+01 1.06e-02 7.95e+01 8.03e+00 0 22 3.97e-04 3.59e-03
18 5.44e+03 2.10e+01 9.59e-03 7.31e+01 8.25e+00 0 21 9.08e-04 8.50e-03
19 5.44e+03 1.99e+01 8.52e-03 6.63e+01 8.62e+00 0 18 5.45e-04 5.42e-03
20 5.44e+03 1.83e+01 7.36e-03 5.83e+01 8.73e+00 0 19 9.93e-04 1.06e-02
21 5.44e+03 1.67e+01 6.40e-03 5.15e+01 9.45e+00 0 21 6.34e-04 7.32e-03
22 8.70e+03 1.94e+01 4.87e-03 6.18e+01 1.62e+01 0 18 9.86e-04 3.68e-02
23 8.70e+03 1.90e+01 4.23e-03 5.58e+01 9.50e+00 0 20 8.72e-04 1.25e-02
24 8.70e+03 1.85e+01 3.81e-03 5.17e+01 1.10e+01 0 20 4.24e-04 7.72e-03
25 8.70e+03 1.80e+01 3.44e-03 4.79e+01 1.17e+01 0 20 7.23e-04 1.58e-02
26 8.70e+03 1.76e+01 3.01e-03 4.38e+01 1.70e+01 0 18 4.42e-04 1.84e-02
27 1.36e+04 1.88e+01 2.37e-03 5.11e+01 1.67e+01 0 16 4.77e-04 3.01e-02
28 1.36e+04 1.82e+01 2.01e-03 4.56e+01 1.23e+01 0 16 9.36e-04 3.13e-02
29 1.36e+04 1.73e+01 1.68e-03 4.02e+01 1.19e+01 0 18 7.57e-04 2.36e-02
30 2.15e+04 1.77e+01 1.32e-03 4.60e+01 1.72e+01 0 17 6.51e-04 6.39e-02
31 3.37e+04 1.84e+01 1.06e-03 5.42e+01 1.78e+01 0 15 9.18e-04 1.33e-01
32 3.37e+04 1.80e+01 9.01e-04 4.84e+01 1.36e+01 0 22 3.39e-04 1.65e-02
33 3.37e+04 1.75e+01 7.53e-04 4.29e+01 1.61e+01 0 20 5.42e-04 3.27e-02
34 5.29e+04 1.81e+01 6.04e-04 5.01e+01 1.76e+01 0 19 7.16e-04 1.80e-01
35 5.29e+04 1.79e+01 5.09e-04 4.48e+01 1.38e+01 0 23 6.38e-04 4.70e-02
36 8.26e+04 1.85e+01 4.08e-04 5.21e+01 1.84e+01 0 19 7.73e-04 2.64e-01
37 8.26e+04 1.83e+01 3.40e-04 4.64e+01 1.39e+01 0 21 2.56e-04 2.41e-02
38 8.26e+04 1.79e+01 2.80e-04 4.10e+01 1.38e+01 0 19 7.43e-04 8.92e-02
39 1.29e+05 1.81e+01 2.23e-04 4.68e+01 1.83e+01 0 21 4.32e-04 2.43e-01
40 1.29e+05 1.79e+01 1.88e-04 4.21e+01 1.37e+01 0 24 2.92e-04 5.95e-02
41 2.01e+05 1.79e+01 1.53e-04 4.86e+01 1.94e+01 0 19 8.97e-04 4.05e-01
42 3.13e+05 1.83e+01 1.27e-04 5.80e+01 1.81e+01 0 21 3.72e-04 1.67e-01
43 3.13e+05 1.82e+01 1.07e-04 5.17e+01 1.36e+01 0 24 3.23e-04 3.35e-02
44 3.13e+05 1.78e+01 8.93e-05 4.58e+01 1.33e+01 0 25 3.14e-04 3.12e-02
45 4.88e+05 1.80e+01 7.35e-05 5.39e+01 1.88e+01 0 22 3.15e-04 1.52e-01
46 4.88e+05 1.78e+01 6.21e-05 4.81e+01 1.35e+01 0 23 2.39e-04 2.54e-02
47 7.63e+05 1.81e+01 5.09e-05 5.69e+01 1.79e+01 0 22 3.91e-04 1.84e-01
48 7.63e+05 1.79e+01 4.29e-05 5.07e+01 1.37e+01 0 25 6.42e-04 6.90e-02
Reach maximum number of IRLS cycles: 40
------------------------- STOP! -------------------------
1 : |fc-fOld| = 1.4670e-01 <= tolF*(1+|f0|) = 3.6979e+02
0 : |xc-x_last| = 1.1429e-01 <= tolX*(1+|x0|) = 1.0010e-01
0 : |proj(x-g)-x| = 1.3666e+01 <= tolG = 1.0000e-01
0 : |proj(x-g)-x| = 1.3666e+01 <= 1e3*eps = 1.0000e-02
0 : maxIter = 100 <= iter = 48
------------------------- DONE! -------------------------
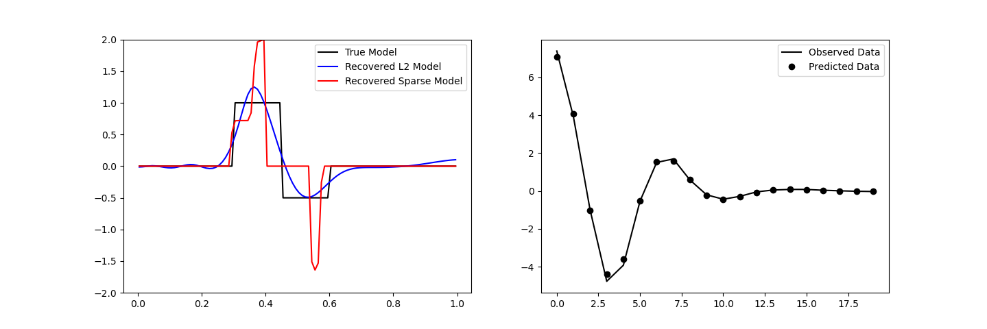
Plotting Results#
fig, ax = plt.subplots(1, 2, figsize=(12 * 1.2, 4 * 1.2))
# True versus recovered model
ax[0].plot(mesh.cell_centers_x, true_model, "k-")
ax[0].plot(mesh.cell_centers_x, inv_prob.l2model, "b-")
ax[0].plot(mesh.cell_centers_x, recovered_model, "r-")
ax[0].legend(("True Model", "Recovered L2 Model", "Recovered Sparse Model"))
ax[0].set_ylim([-2, 2])
# Observed versus predicted data
ax[1].plot(data_obj.dobs, "k-")
ax[1].plot(inv_prob.dpred, "ko")
ax[1].legend(("Observed Data", "Predicted Data"))
# Plot convergence
fig = plt.figure(figsize=(9, 5))
ax = fig.add_axes([0.2, 0.1, 0.7, 0.85])
ax.plot(saveDict.phi_d, "k", lw=2)
twin = ax.twinx()
twin.plot(saveDict.phi_m, "k--", lw=2)
ax.plot(
np.r_[IRLS.metrics.start_irls_iter, IRLS.metrics.start_irls_iter],
np.r_[0, np.max(saveDict.phi_d)],
"k:",
)
ax.text(
IRLS.metrics.start_irls_iter,
0.0,
"IRLS Start",
va="bottom",
ha="center",
rotation="vertical",
size=12,
bbox={"facecolor": "white"},
)
ax.set_ylabel(r"$\phi_d$", size=16, rotation=0)
ax.set_xlabel("Iterations", size=14)
twin.set_ylabel(r"$\phi_m$", size=16, rotation=0)
Text(865.1527777777777, 0.5, '$\\phi_m$')
Total running time of the script: (0 minutes 28.405 seconds)
Estimated memory usage: 325 MB

